Список работ

Распределение температуры в пластине

Содержание

Введение

Рассматривается нагрев прямоугольной пластины расположенными на ней источниками тепла. Температура источников тепла (нагревателей) не меняется во времени.
Определение стационарного распределения температуры в прямоугольной пластине сводится к следующей краевой задаче:

Краевая задача

Ее запись в виде разностной схемы:

Разностная схема

где f = 0 во всех точках сетки, кроме позиций расположения источников тепла, в этих позициях f содержит значение температуры источника тепла,
g – содержит значения температуры на границах пластины.
В решаемой задаче полагаем:
пластина квадратная (M = N);
во всех граничных точках сетки, расположенных по периметру пластины, температура одинакова.
Задача решается методом сопряженных градиентов.
Пусть ui,j(0) - начальное приближение, тогда начальное значение невязки равно:

Вычисляем невязку

Запомним невязку:

pi,j(0) = ri,j(0)

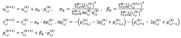
Приближение и невязка на шаге k + 1 вычисляются по следующим формулам:

Приближения и невязки

Вычисления завершаются при достижении заданной точности, определяемой как расстояние между последним и предшествующим приближениями.

Реализация на Python

На рис. 1 показаны результаты решения задачи с различным числом нагревателей.

Пластина с нагревателями

Рис. 1. Пластина с одним, двумя и тремя нагревателями

Замечание. Для согласования температурных карт с различным числом нагревателей необходимо выполнить нормирование данных по температуре.

Результаты обеспечивает следующий код:

import numpy as np
from matplotlib import pyplot as plt
nH = 3 # Число нагревателей (не более трех)
calc = True
g = 4 # Температура на границе
n = 100 # Размер сетки
n1 = n + 1
n2 = n + 2
eps = 0.5 # Точность: eps = pow(10, -2)
tH, tH2, tH3 = 60, 140, 100 # Температуры нагревателей 1, 2 и 3
# Координаты нагревателей 1, 2 и 3
xH, yH = n / 4, n / 4
xH2, yH2 = 3 * n / 4, 3 * n / 4
xH3, yH3 = xH2, yH
u = np.zeros((n2, n2), dtype = 'float32')
u_prev = np.zeros((n2, n2), dtype = 'float32')
max_steps = 100
fn = 'vp' + str(nH) + '.bin'
def save_data(fn, data):
    fp = open(fn, 'wb')
    fp.write(data.flatten())
    fp.close()
def load_data(fn):
    with open(fn, 'rb') as f:
        data = np.fromfile(f, dtype = np.uint8)
    return data
def f_r(x, y): # Правая часть
    prs = 0.1
    if abs(x - xH) < prs and abs(y - yH) < prs: return tH
    if abs(x - xH2) < prs and abs(y - yH2) < prs and nH > 1: return tH2
    if abs(x – xH3) < prs and abs(y – yH3) < prs and nH > 2: return tH3
    return 0
def maxSumAMinusB(a, b):
    max_val = -np.inf
    for i in range(1, n1):
        max_val = max(max_val, np.sum(abs(a[i, 1:n1] - b[i, 1:n1])))
    return max_val
def sumAMultB(a, b):
    return np.sum(a[1:n1, 1:n1] * b[1:n1, 1:n1])
def grid():
    u[:, 0] = g; u[:, n1] = g
    u[0, :] = g; u[n1, :] = g
def solve():
    r = np.zeros((n1, n1), dtype = 'float32')
    r_prev = np.zeros((n1, n1), dtype = 'float32')
    ap = np.zeros((n1, n1), dtype = 'float32')
    p = np.zeros((n2, n2), dtype = 'float32')
    for i in range(1, n1):
        for j in range(1, n1):
            # Начальные невязки
            up_ij2 = 2 * u[i, j]
            r[i, j] = f_r(i, j) + (u[i + 1, j] - up_ij2 + u[i - 1, j]) + (u[i, j + 1] - up_ij2 + u[i, j - 1])
            p[i, j] = r[i, j]
    n_steps = m_val = 0
    while(1):
        for i in range(1, n1):
            for j in range(1, n1):
                u_prev[i, j] = u[i, j]
                up_ij2 = 2 * p[i, j]
                ap[i, j] = -(p[i + 1, j] - up_ij2 + p[i - 1, j]) - (p[i, j + 1] - up_ij2 + p[i, j - 1])
        alpha = sumAMultB(r, r) / sumAMultB(ap, p)
        u[1:n1, 1:n1] = u[1:n1, 1:n1] + alpha * p[1:n1, 1:n1] # Приближения
        r_prev[1:, 1:] = r[1:, 1:]
        r[1:, 1:] = r[1:, 1:] - alpha * ap[1:, 1:] # Невязки
        betta = sumAMultB(r, r) / sumAMultB(r_prev, r_prev)
        p[1:n1, 1:n1] = r[1:, 1:] + betta * p[1:n1, 1:n1]
        # Сравнение текущего и предшествующего приближений на предмет достижения заданной точности
        m_val = maxSumAMinusB(u, u_prev)
        n_steps += 1
        if m_val < eps or n_steps >= max_steps: break
    print('Число шагов. Предельное:', max_steps, 'Сделано:', n_steps, 'Достигнутая точность:', m_val)
def make_map():
    uMax = np.max(u)
    vp = np.zeros((n2, n2), dtype = 'uint8')
    vp[...] = 255 * u / uMax
    return np.rot90(vp)
def plot():
    plt.figure(figsize = (3, 3))
    plt.title('Нагревателей: ' + str(nH))
    plt.imshow(vp, cmap = 'jet', interpolation = 'nearest') # origin = 'lower'
    plt.axis('off')
    plt.show()
if calc:
    grid() # Инициализация сетки (области интегрирования)
    solve() # Решаем краевую задачу
    vp = make_map()
    save_data(fn, vp)
else:
    vp = load_data(fn)
    vp = vp.reshape(n2, n2)
plot() # Вывод карты температур

Реализация на C#

Приведенная схема так же реализуется как C# Windows Form-приложение. Графическое отображение результата (рис. 2) осуществляется встроенными в Microsoft Visual Studio средствами.

Пластина с тремя и двумя нагревателями

Рис. 2. Пластина с тремя и двумя нагревателями

Результат обеспечивает следующий код:

using System;
using System.Drawing;
using System.Windows.Forms;

namespace WindowsFormsApplicationTemprature
{
    public partial class FormPlate : Form
    {
        // Граничное значение
        int nH = 2; // Число нагревателей (не более трех)
        int g = 4; // Температура на границе
        static int N = 200; // Размер сетки
        int N1 = N + 1;
        int N2 = N + 2;
        // Приближения текущего и предыдущего шагов
        double[][] U, UPrev;
        double eps; // Точность
        int pW; // Размер области вывода
        int penS; // Размер кисти
        // Координаты нагревателей 1, 2 и 3
        int xH, yH, xH2, yH2, xH3, yH3;
        // Температуры нагревателей 1, 2 и 3
        double tH = 80, tH2 = 120, tH3 = 100;

        public FormPlate()
        {
            InitializeComponent();
            eps = Math.Pow(10, -2);
            pW = pictureBoxPlate.Width;
            // Координаты нагревателей 1 и 2 (N <= pW)
            int d = pW / N;
            xH = 120 / d;
            yH = 100 / d;
            xH2 = 280 / d;
            yH2 = 300 / d;
            xH3 = xH2;
            yH3 = yH;
            // Размер кисти
            penS = d;
            // Инициализация сетки (области интегрирования)
            Grid();
            // Решаем краевую задачу
            Solve();
            // Вывод изображения
            pictureBoxPlate.Paint += pictureBoxPlate_Paint;
        }
        double maxSumAMinusB(double[][] A, double[][] B)
        {
            double max = 0;
            double sum;
            for (int i = 1; i < N1; i++)
            {
                sum = 0;
                for (int j = 1; j < N1; j++) sum += Math.Abs(A[i][j] - B[i][j]);
                max = Math.Max(max, sum);
            }
            return max;
        }
        double sumAMultB(double[][] A, double[][] B)
        {
            double sum = 0;
            for (int i = 1; i < N1; i++)
                for (int j = 1; j < N1; j++) sum += (A[i][j] * B[i][j]);
            return sum;
        }
        void Grid()
        {
            int i, j;
            U = new double[N2][];
            UPrev = new double[N2][];
            for (i = 0; i < N2; i++)
            {
                U[i] = new double[N2];
                UPrev[i] = new double[N2];
                for (j = 0; j < N2; j++) U[i][j] = 0;
            }
            // Граница сетки (области интегрирования)
            for (i = 0; i < N2; i++)
            {
                U[i][N1] = g;
                U[i][0] = g;
                j = i;
                U[0][j] = g;
                U[N1][j] = g;
            }
        }
        // Правая часть
        double f(int x, int y)
        {
            if (x == xH && y == yH) return tH;
            if (x == xH2 && y == yH2 && nH > 1) return tH2;
            if (x == xH3 && y == yH3 && nH > 2) return tH3;
            return 0;
        }
        void Solve()
        {
            double[][] R = new double[N2][];
            double[][] Rprev = new double[N2][];
            double[][] P = new double[N2][];
            double[][] AP = new double[N2][];
            double alpha, betta, UPij2;
            int i, j;
            P[0] = new double[N2];
            P[N1] = new double[N2];
            for (i = 1; i < N1; i++)
            {
                R[i] = new double[N1];
                Rprev[i] = new double[N1];
                AP[i] = new double[N1];
                P[i] = new double[N2];
            }
            // Граничные ячейки
            for (i = 0; i < N2; i++)
            {
                P[i][0] = 0;
                P[i][N1] = 0;
                j = i;
                P[0][j] = 0;
                P[N1][j] = 0;
            }
            for (i = 1; i < N1; i++)
                for (j = 1; j < N1; j++)
                {
                    // Начальные невязки
                    UPij2 = 2 * U[i][j];
                    R[i][j] = f(i, j) + (U[i + 1][j] - UPij2 + U[i - 1][j]) + (U[i][j + 1] - UPij2 + U[i][j - 1]);
                    P[i][j] = R[i][j];
                    AP[i][j] = 0;
                }
            do
            {
                for (i = 1; i < N1; i++)
                    for (j = 1; j < N1; j++)
                    {
                        UPrev[i][j] = U[i][j];
                        UPij2 = 2 * P[i][j];
                        AP[i][j] = -(P[i + 1][j] - UPij2 + P[i - 1][j]) - (P[i][j + 1] - UPij2 + P[i][j - 1]);
                    }
                alpha = sumAMultB(R, R) / sumAMultB(AP, P);
                for (i = 1; i < N1; i++)
                    for (j = 1; j < N1; j++)
                    {
                        // Приближения
                        U[i][j] += alpha * P[i][j];
                        Rprev[i][j] = R[i][j];
                        // Невязки
                        R[i][j] -= alpha * AP[i][j];
                    }
                betta = sumAMultB(R, R) / sumAMultB(Rprev, Rprev);
                for (i = 1; i < N1; i++)
                    for (j = 1; j < N1; j++) P[i][j] = R[i][j] + betta * P[i][j];
            }
            // Сравнение текущего и предшествующего приближений на предмет достижения заданной точности
            while (maxSumAMinusB(U, UPrev) >= eps);
        }
        // Вывод образа
        void pictureBoxPlate_Paint(object sender, PaintEventArgs e)
        {
            int i, j;
            Graphics plate = e.Graphics;
            Pen penC;
            double uMax = 0;
            int clr;
            Color clrC;
            for (i = 0; i < N2; i++)
                for (j = 0; j < N + 2; j++) uMax = Math.Max(uMax, U[i][j]);
            for (i = 0; i < N2; i++)
                for (j = 0; j < N + 2; j++)
                {
                    clr = (int)(255 * U[i][j] / uMax);
                    if (clr > 240)
                        clrC = Color.Red; // FF000
                    else if (clr > 225)
                        clrC = Color.Brown; // A5A22A
                    else if (clr > 210)
                        clrC = Color.Tomato; // FF6347
                    else if (clr > 195)
                        clrC = Color.Salmon; // FA8072
                    else if (clr > 180)
                        clrC = Color.MediumSlateBlue; // 7B68EE
                    else if (clr > 165)
                        clrC = Color.Yellow; // FFFF00
                    else if (clr > 145)
                        clrC = Color.PapayaWhip; // FFEFD5
                    else if (clr > 125)
                        clrC = Color.Violet; // EE82EE
                    else if (clr > 105)
                        clrC = Color.PaleVioletRed; // DB7093
                    else if (clr > 90)
                        clrC = Color.YellowGreen; // 9ACD32
                    else if (clr > 75)
                        clrC = Color.Green; // 00FF00
                    else if (clr > 60)
                        clrC = Color.SpringGreen; // 00FF7F
                    else if (clr > 50)
                        clrC = Color.MediumSpringGreen; // 00FA9A
                    else if (clr > 40)
                        clrC = Color.MediumSeaGreen; // 3CB371
                    else if (clr > 30)
                        clrC = Color.SteelBlue; // 4682B4
                    else if (clr > 20)
                        clrC = Color.RoyalBlue; // 4169E1
                    else if (clr > 10)
                        clrC = Color.Blue; // 0000FF
                    else
                        clrC = Color.MediumBlue; // 0000CD
                    penC = new Pen(clrC, penS);
                    plate.DrawRectangle(penC, i * penS, j * penS, penS, penS);
                }
        }
    }
}

Список работ

Рейтинг@Mail.ru